Mikrokristalline Cellulose (Ph. Eur., USP, IP, Food Grade)

- Artikel-Nr.: S100130
- Abgabebedingungen: Shopkategorie 0
Andere Namen: Cellulose, Zellulose
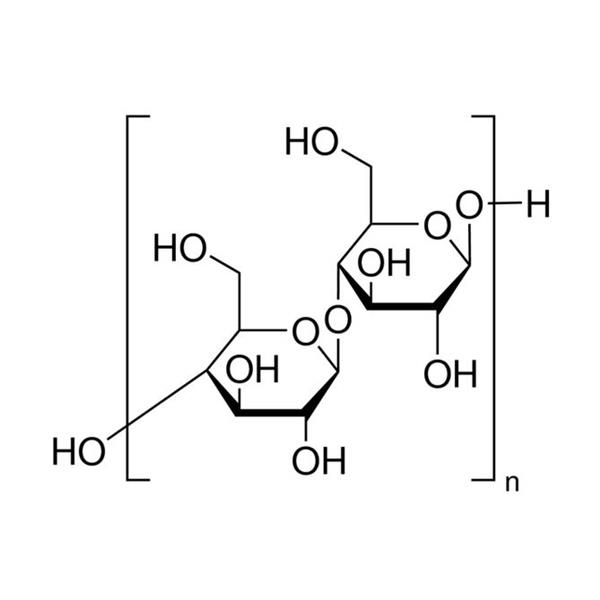
Summenformel: (C 12 H 20 O 10 ) n
Molare Masse... mehr
Mikrokristalline Cellulose (Ph. Eur., USP, IP, Food Grade)
Andere Namen: Cellulose, Zellulose
Summenformel: (C12H20O10)n
Molare Masse der Wiederholungseinheit: 324,28g/mol
Polymerisationsgrad: <=350
Gehalt: Ph. Eur., USP, IP, Food Grade
Korngröße <75µm: min. 70%
Korngröße <250µm: min. 99%
CAS-Nummer: 9004-34-6
EG-Nummer: 232-674-9
Lagerklasse: 10-13
Spezifikation: Download
Sicherheitsdatenblatt: Download
NEU
NEU
NEU
Zuletzt angesehen